zum Hauptmenü

Bibliothek

Logo: International Tracing Service
  • Bibliothek
  • Titel
  • Inhalt
  • Übersicht
  • Seite
  •  
 

suchen

Detailsuche

Inhalt

  • Bestandssystematik  (398 Titel)

Listen

  • Neuzugänge
  • Titel
  • Verlag
  • Jahr

Clouds

  • Schlagwörter
  • Personen
  • Verlage
  • Jahre

Katalog

  • Gesamtkatalog der Präsenzbibliothek
Pseudo-medizinische Versuche im KL Mauthausen Anlage 9
 
  •  
    PDF  Titelblatt
  •  
    PDF  Medizinische Menschenversuche: Verträglichkeit von Impfstoffen
  •  
    PDF  Anlage 1
  •  
    PDF 2 Anlage 2
  •  
    PDF 3 Anlage 3
  •  
    PDF 4 Anlage 4
  •  
    PDF 5 Anlage 5
  •  
    PDF 1 Anlage 6
  •  
    PDF 2 Anlage 7
  •  
    PDF 2 Anlage 8
  •  
    PDF 3 Anlage 9
  •  
    PDF 2 Anlage 10
  •  
    PDF  Anlage 11
  •  
    PDF  Anlage 12
  •  
    PDF  Anlage 13
  •  
    PDF  Anlage 14a
  •  
    PDF  Anlage 14b
  •  
    PDF  Anlage 14c
  •  
    PDF  Anlage 15
  •  
    PDF  Anlage 16
  •  
    PDF  Anlage 17
  •  
    PDF  Anlage 18
  •  
    PDF  Anlage 19a
  •  
    PDF  Anlage 19b
  •  
    PDF  Anlage 19c
  •  
    PDF  Anlage 19d
  •  
    PDF  Anlage 19e
  •  
    PDF  Anlage 20
  •  
    PDF  Rückdeckel
 Wird geladen ...
     
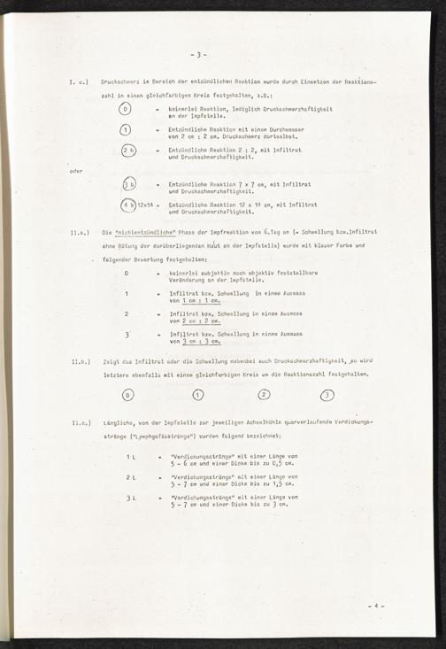
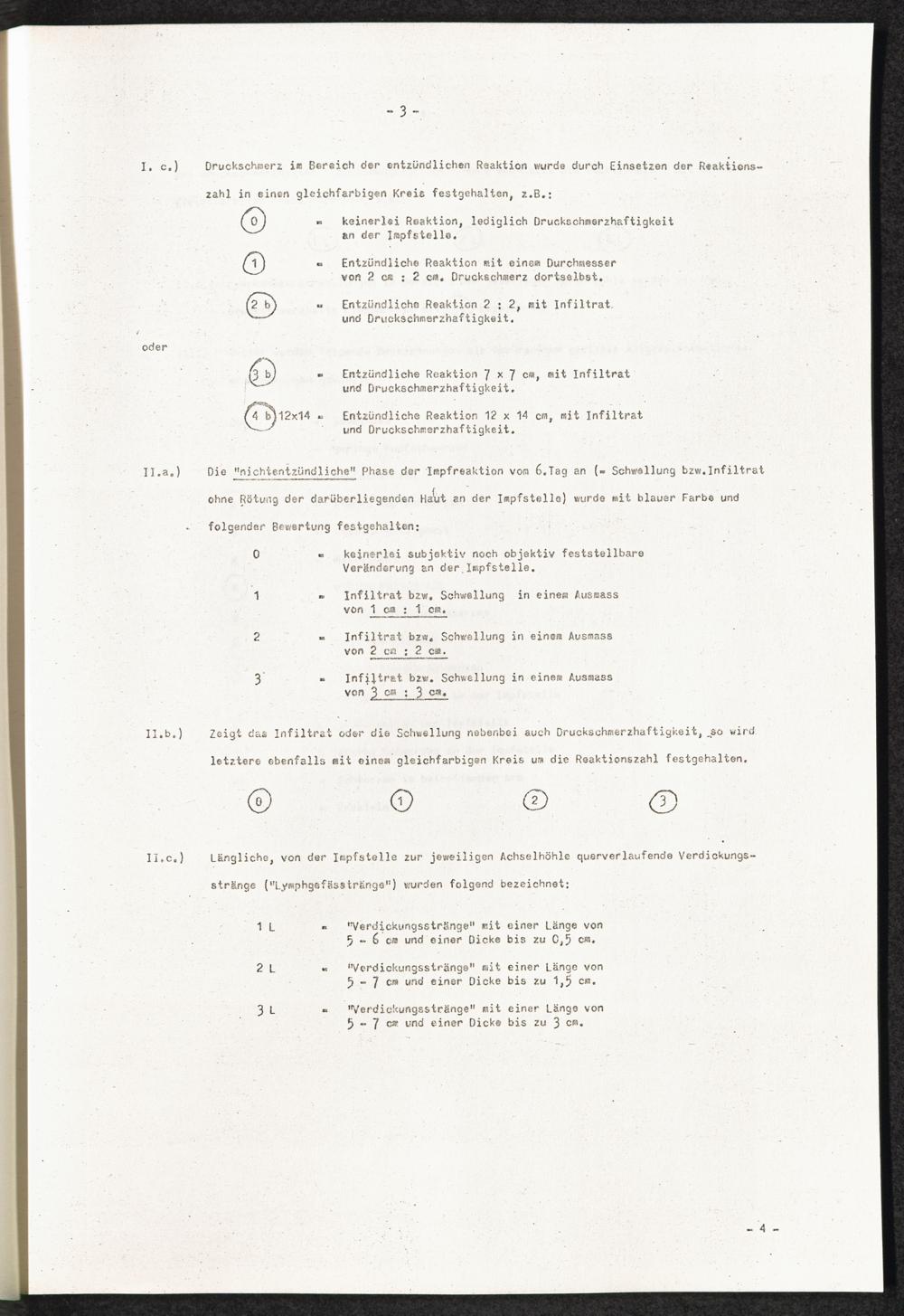
Druckschrift 
Pseudo-medizinische Versuche im KL Mauthausen : Impfstoffversuche / Internationaler Suchdienst
(ITS)
Jahr
Bad Arolsen 
Seite
3
Rechtsdrehung 90°Linksdrehung 90°
  
  
  
  
  
 
Einzelbild herunterladen
verfügbare Breiten
JPEG klein
JPEG groß
JPEG größer
  Seite
Arolsen Archives
  • Kontakt
  • Impressum
  • Datenschutz

Arolsen Archives


Große Allee 5 - 9
34454 Bad Arolsen
Deutschland

Tel: +49 (0)5691 629-0
Fax: +49 (0)5691 629-501
Der ITS wird gefördert durch:
Die Beauftragte der Bundesregierung für Kultur und Medien
 
© Copyright 2026 Arolsen Archives
Visual Library Server 2026

Information zur Nutzung des Online-Archivs der Arolsen Archives

Wir begrüßen Sie als neuen Nutzer unseres Portals! Für das Online-Archiv der Arolsen Archives gelten die gleichen Nutzungsbedingungen wie bei einem Archivbesuch in Bad Arolsen. Sie wurden durch den Internationalen Ausschuss als oberstes Leitungsgremium der Arolsen Archives festgelegt und entsprechen nicht deutschem oder anderem nationalen Archivrecht.

Bitte beachten Sie, dass dieses Portal über NS-Verfolgte sensible Daten zu identifizierten oder identifizierbaren Personen enthält. Dazu können Religionszugehörigkeit, Herkunft, Gesundheitszustand, sexuelle Orientierung, Weltanschauung, Mitgliedschaft in Gewerkschaften und Parteien oder auch Einträge in Strafregistern gehören.

Als Nutzer dieses Portals sind Sie persönlich dafür verantwortlich, dass Sie das Recht auf die Privatsphäre und sonstige Gesetze und die schutzwürdigen Belange Dritter oder Betroffener sowie allgemein anerkannte Praktiken in Bezug auf personenbezogene Daten respektieren. Der ITS kann nicht für Veröffentlichungen Dritter, die durch die Nutzung seiner Sammlungen erscheinen, verantwortlich gemacht werden.

Bitte kontaktieren Sie uns, wenn Sie beispielsweiser als Angehöriger aus berechtigten Gründen einer Veröffentlichung bestimmter personenbezogener Daten nicht zustimmen.

Sie möchten mehr über die Datenrichtlinie der Arolsen Archives wissen. Hier finden Sie alle Informationen.